县志导航 / Navigation
华东 >>
江苏县志 [445]
台湾县志 [9]
安徽县志 [214]
江西县志 [329]
福建县志 [188]
上海县志 [82]
浙江县志 [445]
山东县志 [435]
华北 >>
内蒙古县志 [26]
北京县志 [73]
天津县志 [26]
山西县志 [318]
河北县志 [394]
东北 >>
黑龙江县志 [34]
吉林县志 [37]
辽宁县志 [80]
华南 >>
海南县志 [21]
广东县志 [251]
广西县志 [116]
西南 >>
四川县志 [310]
贵州县志 [110]
云南县志 [132]
重庆县志 [69]
西藏县志 [44]
西北 >>
陕西县志 [291]
甘肃县志 [107]
青海县志 [5]
宁夏县志 [17]
新疆县志 [61]
其他资源>>
文史类 [30]
书画类 [0]
宗教类 [1]
医学类 [0]
周易类 [0]
地理类 [102]

内蒙古纪要(民国)花楞编 内蒙古PFD电子版地方志下载
内蒙古纪要(民国)花楞编 内蒙古PDF电子版地方志下载
价      格:¥ 10.00
30天售出:35
书名 古籍名称 所属地区 所属省份
内蒙古纪要 内蒙古纪要(民国) 内蒙古地方志 内蒙古县志大全
点击在线交谈 无需注册会员,可联系微信/QQ:766556009直接购买!
[VIP及以上会员专用下载地址,普通会员和游客请直接点击购买按钮]

商品详情
发布时间2022-06-17 11:03:44

 QQ截图20220617110628.jpg

内蒙古纪要


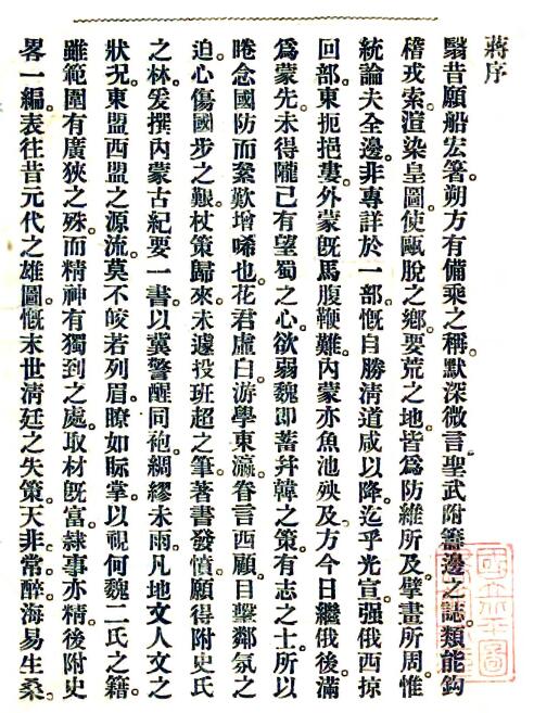
花楞编。民国五年(1916)铅印本。全志分为五编,第一编总论为蒙古及内蒙古之意义,位置面积,疆界;第二编地文地理为山脉,河流,湖沼,沙漠,气候;第三编人文地理为居民(人种、人口、语言文字、风俗)、政教(行政区划、教育、宗教、兵备、财政)、物产(牧、农、矿、工、猎、渔)、交通(道路、水运、陆运、驿站、邮务、电报、铁路);第四编各部之状况;第五编史略。附图(现势图、农产品图、畜产品图)。

客服 QQ: 766556009(微信同号)

购买流程: 联系客服 → 沟通确认 → 微信或支付宝付款 → 邮箱或QQ在线发货
如果没找到您想要的县志或资源也可联系客服帮您代查找、代下载,中国县志网7×24小时竭诚为您服务!

QQ图片20220607105411.jpg  QQ图片20220607105411.jpg

扫一扫加QQ                                            扫一扫加微信

免责申明:
本站仅提供学习的平台,所有资料均来自于网络,版权归原创者所有!本站不提供任何保证,并不承担任何法律责任,如果对您的版权或者利益造成损害,请提供相应的资质证明,我们将于3个工作日内予以删除。

上一篇:蒙事一斑-民国建立与蒙古来往史料PDF电子版地方志下载

下一篇:绥远河套治要(民国)周晋熙撰 PDF电子版地方志下载